■母に捧げるバラード 
宿題は自分でやってくれぇ
今回の話は、とあるメーリングリストから始まる。仮にそのメーリングリストを"family-ml"と名付けておく。そのfamily-mlで論争が起きたのである。
メーリングリストで論争が起きることはよくある。しかし、このfamily-mlは通常のメーリングリストではなかった。実は、とある家族を構成員とするものであった。そう、この家族は専用のメーリングリストを持っているのである。そこで、この論争は起きた。
各登場人物の紹介は随時していこうと思う。
To family-**@hirax.net From 母 Subject: レポート課題がわからない みなさんお元気ですね。 大気の持つ質量あたりのエネルギーを、次の二つの例について求めなさい。 「下」 赤道付近の地表面付近の大気 「上」 赤道付近り対流圏界面付近の大気 結果を次のような表にまとめなさい。 さて、インドの話はいらしたときにします。大変な国ですが、行って良かったです。 母 |
この「母」はいまはやりのヤンママではない。戦中に生まれたお年の方である。去年辺りから仕事のない日に大学へ社会人学生として通うようになったのである。
To family-**@hirax.net From 兄 Subject:Re: レポート課題がわからない > レポート課題 SOSです。だれか教えて下さい。 この「母」のレポートって「弟」の得意な専門の問題じゃないの? > 高さ 1500m(=15Km) あと、15000mの間違い? 兄 |
「兄」はとあるWEBのwebmasterである。「母」の年からすれば、そうそう若くもないことがわかる。
To family-**@hirax.net From 父 Subject:Re: レポート課題がわからない >結果を次のような表にまとめなさい。 父 |
「父」はhiraxという名前を数十年名乗ってきた、元祖hiraxである。
To family-**@hirax.net From 母 Subject:Re: レポート課題がわからない 今年は地球科学概論をとった。確か昨年「兄」が次は地球科学がいいと、 母 |
確か、この「母」は去年は「応用化学」をとっていた。なぜ、そういう無理なことをしたがるのだ。
気持ちはわからないでもないが、もう少し考えて欲しいものである。
To family-**@hirax.net From 兄 Subject:Re: レポート課題がわからない > 今年は地球科学概論をとった。確か昨年「兄」が次は地球科学がいいと、 いや、私が言ったのは「どうせ習うなら自然科学史みたいなのの方がいいよ。」です。「地球科学概論」だなんて言っておりません。 >自分の責任のあることを「弟」に振ろうとしていませんか。 いや、私に責任はないと思うのですが... >だれでもいいです。「弟」、助けてくれますか? そうそう > 「弟」 兄 |
To family-**@hirax.net From 弟 Subject:Re: レポート課題がわからない >そうそう > 「弟」 地球科学概論なんだから、宇宙・地球物理専攻の人がやるべき 最近、修論のまとめで忙しいです。 弟 |
To family-**@hirax.net From 兄 Subject:Re: レポート課題がわからない > 地球科学概論なんだから、宇宙・地球物理専攻の人がやるべき しかし、これってほとんど化学工学ではないでしょうか。だから、 兄 |
To family-**@hirax.net From 母 Subject:Re: レポート課題がわからない >>> そうそう助けてやれよ > 「弟」 そろいもそろって、冷たい兄弟ですね。 母 |
うちの「母」はこうなると怖い。
To family-**@hirax.net From 「妹姉」 Subject:Re: レポート課題がわからない >>>> そうそう助けてやれよ > 「弟」 >そろいもそろって、冷たい兄弟ですね。 そういうと、私まで一緒みたいに聞こえます。やめて下さい。兄妹とか姉弟 「妹姉」 |
To family-**@hirax.net From 父 Subject:Re: レポート課題がわからない 「母」がせっかく苦労してレポートをと考えているので、hiraxファミリーの 多分、「兄」や「弟」だったら、チョチョイだから。 > どうせ習うなら自然科学史みたいなものの方がいいよ。 父 |
To family-**@hirax.net From 兄 Subject:Re: レポート課題がわからない >多分、「兄」や「弟」だったら、チョチョイだから。 >今朝、「父」は物理的な意味だけは、10分間講義してあげました。 そんなに若くはない年で働きながらも、大学へ行こうとする「母」の 兄 |
さて、配達された最後の手紙が以下である。
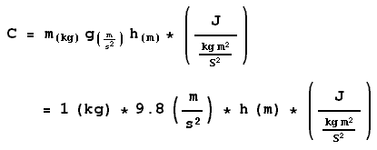
To family-**@hirax.net From 兄 Subject:Re: レポート課題がわからない 昨日の電話など、何やらプレッシャーが感じられてきたので、適当に問題にとりかかって まずは、簡単そうな位置エネルギーと運動エネルギーから。「地球科学概論」 「問題」 「上」 赤道付近り対流圏界面付近の大気 「上」「下」それぞれについて 「回答」 ![]() 「上」 赤道付近り対流圏界面付近の大気 h=15000(m) 「下」 赤道付近の地表面付近の大気 h=0(m) を代入し、 「上」 1.47*10^(5) J 「下」 0 J を得る。 運動エネルギーDは速度v(m/s)に対して、 ![]() 「上」 赤道付近り対流圏界面付近の大気 v=20(m/s) 「下」 赤道付近の地表面付近の大気 v=5(m/s) を代入し、 「上」 200 J 「下」 12.5 J を得る。 さて、次に「A.内部エネルギーの温度に比例する部分、B.内部エネルギーの水蒸気に比例する部分」 ![]() 「上」 赤道付近り対流圏界面付近の大気 (300-6×15)K 最後に「B.内部エネルギーの水蒸気に比例する部分」であるが、水が液体から気体に変化するときのエネルギー収支を考る。蒸発熱が2498J/gであることを考え、計算を行う。 「上」 赤道付近り対流圏界面付近の大気 水蒸気0g なお、検算も読み直しもしておりません。 兄 |
ごくまれにではあるが、「課題を解いてください」という大学生からのメールが届くことがある。そういうメールを見るたびに「うーむ...」という気分になっていたのである。しかし、まさか自分の親の宿題をやるはめになるとは。しかもこの年になって...